Artificial Neuron
- 매컬러와 피츠가 제안한 매우 단순한 신경망 모델
- 입력이 일정 개수만큼 활성화되면 출력을 내보냄
- 논문에서 어떤 논리 명제도 계산할 수 있다는 것을 증명함
- MCP뉴런이라 부른다.
뉴런은 행렬 계산의 일부이다. 특별하거나 심오한걸로 생각하지 말자.
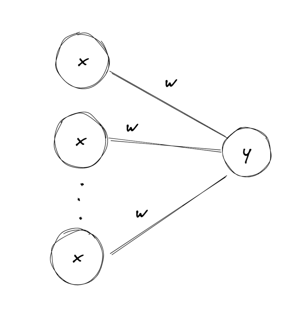
Perceptron
- 1957년 로젠블라트(Frank Rosenblatt)가 제안
- TLU : threshold logic unit, LTU : linear threshold unit이라 불리는 형태의 인공 뉴런 기반
- 입력과 출력이 이진이 아닌 숫자이다.
작동 과정

- 입력의 가중치 합을 계산
- 계단 함수 ( step function )을 적용
- 헤비사이드 계단 함수
- 부호 함수
- 헤비사이드 계단 함수
- 출력
계단 함수는 TLU인 경우의 활성화 함수이다 .
- 행렬을 이용한 수식 계산
는 활성화 함수
Linearly Separable
- 선형적으로 분류가 가능한 패턴은 linear hyperplane을 통해 나누어질 수 있다.
- 로젠블라트는 퍼셉트론 알고리즘으로 선형 분류 문제를 해결할 수 있음을 증명했다.
- Perceptron convergence theorem
![]()
Perceptron Criterion
- 분류를 잘 했다면 아래의 식이 성립한다.
- 예측 값이 양수이면 또한 1이고 음수이면 값이 -1이기 때문이다.
object function
- perceptron criterion은 다음과 같은 목적 함수를 유도한다.
- 이때 은 misclassified된 의 set이다.
- misclassified 되면 값이 음수이다.
- 즉 위 목적 함수의 값을 최소화하는 것이 학습 목표가 된다.
- 그레디언트를 구하자.
- 그레디언트를 구하자.
Learning
- 다음과 같이 를 업데이트 할 수 있다.
Algorithm outline
- training sample을 준비한다.
- misclassified를 찾는다.
2.1. correctly하면 넘어간다 .
2.2. incorrectly하면 를 업데이트 한다.
- 수렴할 때까지1, 2를 반복한다.
Logistic regression
차이점이 뭘까?
단일 퍼셉트론은 로지스틱 회귀와 크게 다른 점이 없다.
다만 결과에 있어 차이점이 있다.
- 로지스틱 회귀는 클래스의 확률을 제공한다.
- 다만 퍼셉트론은 고정된 임계 값을 기준으로 예측 값을 만든다.
Limit
XOR
- 만약 데이터가 선형적으로 분류 가능하면 유한한 시도 안에 수렴하는 hyperplane을 구할 수 있다.
- 그러나 선형적으로 분류 가능하지 않은 문제에서는 한계가 있었다.
- 1969년 “Perceptrons:An Introduction to Computational Geometry”, Minsky and Papert 에서 단순한 배타적 논리합 분류 문제를 풀 수 없는 것을 증명했다.
- 이후 첫 ai winter가 찾아온다…
아래 사진처럼 xor문제를 푸는 초평면을 구할 수 없다.
